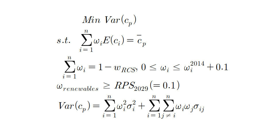
가장 대중적이면서도 오래된 자산배분 계량모델인 평균-분산모형(meanvariance model)은 단순히 상징적 의미만을 가진 모형이 아니다. 여러 개별 자산들의 수익성과 리스크를 독립변수로 삼아 최소 리스크와 최대 수익의 접점을 구한다는 의미에서 평균-분산모형은 자산배분전략 목표에 가장 잘 부합되는 모형이라 볼 수 있다. 그래서 평균-분산모형은 여러 사람이 폭 넓게 활용하는 대안이 되었다. 하지만 실제 적용함에 있어 한 가지 문제가 있다.
바로 자산들의 기대수익률을 합리적으로 산출할 수 있는 방법이 없다는 것이다. 더 중요한 것은 기술적 차원이 아닌 구조적인 문제라는 것이다. 이런 단점을 극복하지 못한다면 평균-분산모형은 이론적으로 완결하다는 평을 받고 있음에도 불구하고 실제 투자에 적용하기 어려운 교과서적인 이론에 불과할 것이다.

이런 이유 때문에 최근에는 리스크 기반 자산배분 방법론이 주로 논의되고 있다. 즉, 기대수익률과 리스크 두 개의 변수가 필요했던 평균-분산모형과 달리 리스크 배분 모형은 기대수익률 부분은 과감하게 포기하고 리스크의 양만을 근거로 하여 자산배분을 실시한다는 것이다. 대표적인 전략으로는 리스크 패리티(risk parity) 방법이 잘 알려져 있다. 물론 이 전략 외에도 MRSP(Maximum Sharpe Ratio Portfolio), MDP(Maximum Diversification Portfolio), MVP(Minimum Variance Portfolio), IVP(Inverse Variance Portfolio) 등 다양한 형태가 있다.
사실 자산배분모델 중 가장 대중적이면서 많은 사람들에게 알려진 모델은 평균-분산(mean-variance)모형이었다. 이 모형은 개별 자산들의 기대 수익률과 리스크만을 독립변수로 활용해 이상적인 배분비중을 산출해 내는 아주 간단한 방법이다. 구조는 단순하지만 논리적으로 흠이 없기 때문에 투자자들 사이에서 현재도 많이 활용되고 있는 모형이다. 평균-분산모형은 시장참여자이 합리적 성향을 가지고 있다는 것을 전제로 한다.
투자자들은 최소의 리스크와 최대의 수익을 추구하고, 이런 합리성에 근거하여 최적 배분비중을 결정한다. 평균-분산모형은 이렇게 심플하면서 합리적인 이유로 시장에서 큰 관심을 받았다. 그렇지만 실제 투자하는 과정에서 예상치 못한 문제가 발생하였다. 기대했던 것과는 다르게 비중 배분 결과가 합리적인 어느 타협선이 아닌 극단적으로 한쪽 방향으로 치우치는 경향이 많았던 것이다. 왜 이런 결과가 나타났을까?

이유는 바로 이 모형의 전제인 합리적인 의사결정을 위한 자산들의 수익률을 구하는 것이 어려웠기 때문이다. 더 큰 문제는 이런 기대수익률을 구한다는 것이 기술적 한계가 아니라 이 모형이 가지고 있는 구조적인 문제일 수 있다는 점이다. 즉, 각 투자 주체들의 금융시장에서의 이해도나 지적인 능력의 차이가 아니라 자산들의 수익성을 전망한다는 시도 자체가 너무 비합리적인 무모한 이론이라는 것이다.
이런 생각은 효율시장가설과 비슷한 면이 있다. 우리가 접하는 시장이 모든 정보가 이미 가격에 반영된 효율적 시장이라 가정한다면 향후 가격을 전망할 수 있는 근거는 없게 되는 것이다. 실제 대부분의 자산은 계량분석결과 아무런 규칙이 없이 행보하는 것으로 나타났다. 이와 같이 가장 기본이 되는 전제가 흔들리게 되면 아무리 이론적으로 좋아 보여도 평균-분산 모형은 적용할 수 없는 이상적인 생각에 불과한 것이다.
'우리 사회가 돌아가는 이야기' 카테고리의 다른 글
| 한수 이북에서 가장 규모가 크고, 시설이 좋다는 포천 서바이벌 경기장을 다녀오다. (36) | 2024.03.08 |
|---|---|
| 삼성의 무노조 경영은 우리나라 재벌의 노동에 대한 시각을 보여주는 대표적인 사례 (0) | 2024.03.08 |
| 지역의 사회적 자본 역할을 하게 될 가칭 포천복지재단 설립 계획(안) (0) | 2024.02.16 |
| 수도권 제2순환고속도로 포천~화도~조안 구간 개통 현장을 가다. (0) | 2024.02.14 |
| [사회복지행정론] 조직문화와 사회복지조직 (1) | 2024.02.12 |